當皮膚接受過多的紫外線照射后,皮膚組織細胞會產生氧化應激,產生過量的活性氧簇(ROS),ROS能夠破壞細胞膜的完整性和細胞內的抗氧化系統,進而引起細胞炎癥、細胞凋亡及腫瘤的形成;同時過量的紫外線照射會使皮膚膠原、透明質酸、彈性蛋白降解,導致皮膚彈性變低、粗糙、形成皺紋。

為了對抗外界環境及內在產生的氧化壓力,人體形成了完善的初級抗氧化防御系統,其包括多種酶抗氧化劑和非酶抗氧化劑。酶抗氧化劑的作用是使活性氧中間產物失活;非酶抗氧化劑則是清除過剩的自由基,抗氧化劑提供一個電子給含有不配對電子而高度活潑的氧自由基,使之形成具有穩態結構的分子而失去其高度化學活性和攻擊性,且自身不會形成有害物質。

一、酶抗氧化劑
1、超氧化物歧化酶SOD

2、過氧化氫酶CAT
CAT能迅速分解細胞代謝過程中產生的物質H?O?,并且可以與SOD相互作用,將SOD催化生成的破壞力極強的H?O?進一步分解為無毒害的O?和H?O,使得H?O?不會與O?在鐵螯合物作用下生成有害的羥基自由基。
3、谷胱甘肽過氧化物酶GSH-Px
GSH-Px通過催化GSH(還原型谷胱甘肽)與過氧化物反應變為GSSG(氧化型谷胱甘肽),將對機體有害的過氧化物還原成無毒的醇類,同時使H?O?分解為H?O和O?,以減輕或消除過氧化物對細胞造成的損傷。

4、谷胱甘肽還原酶GR
在氧化型谷胱甘肽轉化為還原型谷胱甘肽的過程中起著催化作用,從而維持細胞中2種谷胱甘肽的動態平衡。

二、非酶抗氧化劑
1、維生素C
維生素C是人體的必需維生素之一,呈水溶性,又名抗壞血酸,是含有內酯的己糖多元醇類。由于它具有兩個活潑羥基,很容易脫氫氧化為二酮結構,因此具有極強的抗氧化性。

人類由于缺乏VC生物合成最后一步反應的關鍵酶—L-古洛糖酸-1,4-內酯氧化酶( GLO), 因而必須從食物中攝取維生素C。
2、維生素E
又稱生育酚,是人體的必需維生素之一,呈脂溶性。維生素E結構中由6-羥基-色滿環和一個植醇支鏈共同發揮抗自由基作用,同時維生素E還可以直接清除單線態氧,保護維生素C不被氧化,二者協同作用,具有更好的抗氧化效果。
維生素E存在8種主要形式(α、β、γ、δ生育酚和α、β、γ、δ生育三烯酚),其中α-生育酚是自然界中分布最廣泛含量最豐富活性最高的維生素E形式。

3、輔酶Q10
又稱泛醌,有氧化型和還原型2種存在狀態,發揮抗氧化作用的是還原型 Q10,其可以直接清除自由基,從而發揮抗氧化作用。輔酶Q10可以幫助維生素E轉換成穩定狀態,協同發揮抗氧化作用。

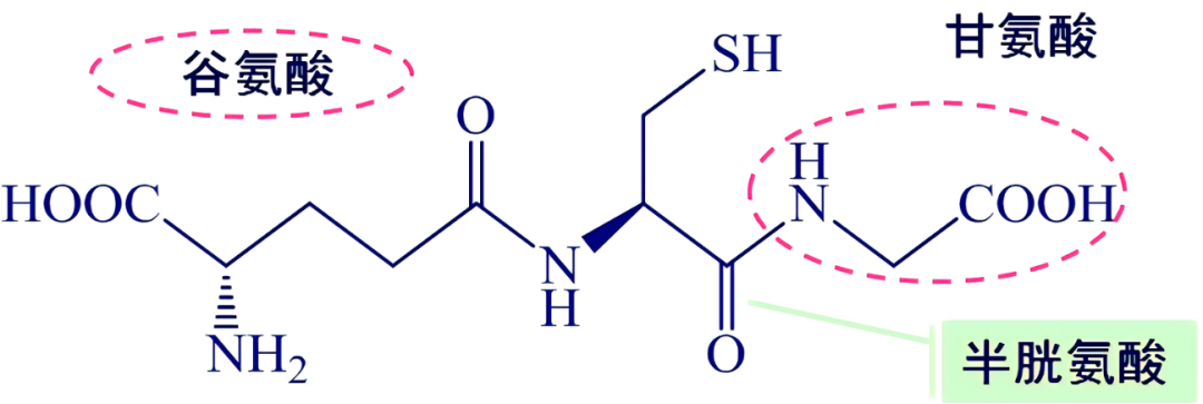
4、谷胱甘肽GSH
谷胱甘肽(Glutathione,GSH)是一種由L-半胱氨酸、γ-L-谷氨酸和甘氨酸通過肽鍵縮合而成的三肽化合物,具有γ-谷氨酰基和巰基兩種活性基團。谷胱甘肽的巰基(-SH)能被氧化成-S-S-鍵,從而在蛋白質分子中生成交聯的二硫鍵,-S-S-鍵也易經還原轉化為巰基,表現了巰基鍵氧化和還原的可逆性。兩種構型中以還原型的作用更大,還原型的谷胱甘肽可使生物酶中的-S-S-鍵還原成-SH,從而恢復或提高它們的活性。

5、類胡蘿卜素
通常指含40碳的碳氫化合物(胡蘿卜素)及其衍生物(葉黃素)兩大類色素的總稱。類胡蘿卜素可以通過電子轉移的方式來清除自由基也可以通過阻斷脂質氧化的鏈式反應兩種途徑發揮抗氧化作用。此外,類胡蘿卜素還可以與自由基發生加成反應,形成類胡蘿卜素加合自由基。
6、硫氧還蛋白Trx
是一種廣泛存在于生物體內的氧化還原蛋白,與硫氧還蛋白還原酶TrxR、還原型輔酶II(NADPH)和硫氧還蛋白過氧化物酶TrxP一起構成硫氧還蛋白系統。
7、金屬硫蛋白MT
是一種廣泛存在于生物體內富含巰基和半胱氨酸的熱穩定性低分子量蛋白質,在機體抗氧化方面有顯著作用。
研究顯示,MT的抗氧化性能優于SOD、CAT、GSH-Px,并且在MT發揮抗氧化作用的同時會促進抗氧化酶的活化和基因表達,使抗氧化酶解除氧自由基的抑制從而更好地發揮抗氧化作用。
8、銅藍蛋白CP
又名銅氧化酶,是一種含銅蛋白質,具有清除自由基以及參與其他抗氧化過程的作用。
9、硒
硒(Se)是人體必需的微量元素,具有很強的抗氧化性,它可以保護細胞膜和線粒體免受氧化損傷。


